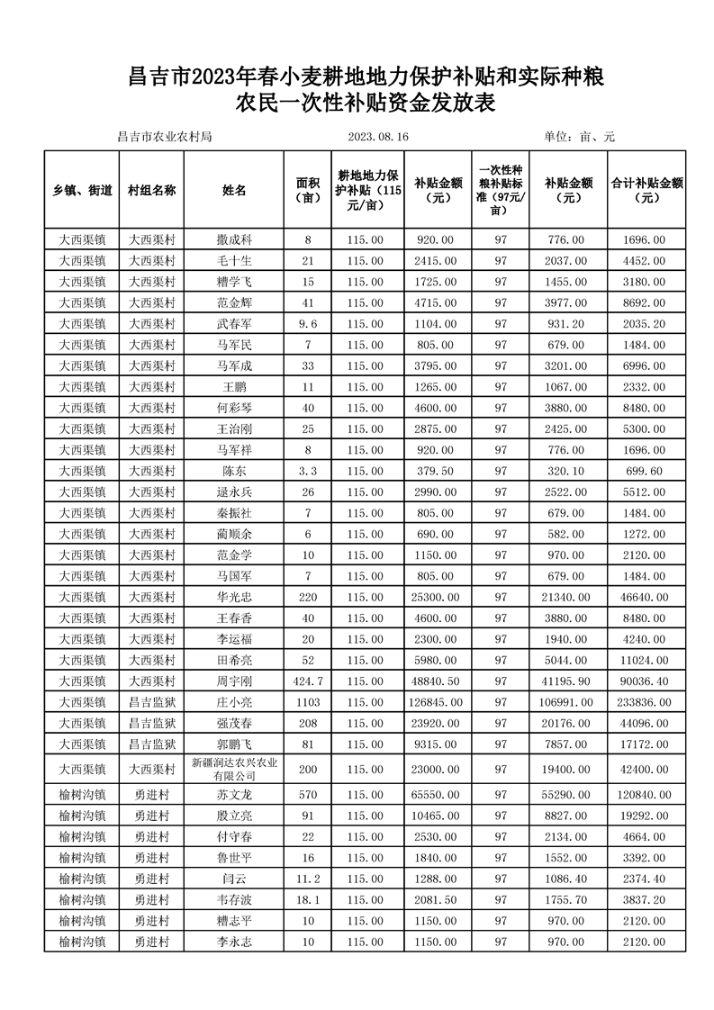
【涉农补贴结果】昌吉市2023年春小麦耕地地力保护补贴和实际种粮农民一次性补贴资金发放表
| 索 引 号 | CJS009/2023-000113 | 主题分类 | 农业、畜牧业、渔业 |
| 发布机构 | 昌吉市农业农村局 | 发文日期 | 2023-08-16 19:10:05 |
| 名 称 | 【涉农补贴结果】昌吉市2023年春小麦耕地地力保护补贴和实际种粮农民一次性补贴资金发放表 | ||
| 文 号 | 主 题 词 | 结果 昌吉市 2023 小麦 耕地 保护 种粮农民 补贴资金 | |
| 来 源 | 昌吉市农业农村局(市乡村振兴局) | ||
| 内容概述 |
![]() ![]() ![]() ![]()
昌吉市人民政府开办 昌吉市人民政府办公室主办 昌吉市人民政府电子政务办公室承办 ICP备案编号:新ICP备13003649-3 | ||






